翰林刷题,免费考试真题网站!
首页
关于我们
首页
›
分类
› 详情
作者:高老师
时间:2024-07-20
浏览 1
A、见上A
B、见上B
C、见上C
D、见上D
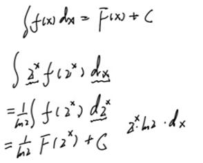
【正确答案】:A
【题目解析】:
【答案解析】
📱 扫码体验刷题小程序
扫一扫使用我们的微信小程序
热门题目
制成世界上最早的地震仪的科学家是()
价值增殖产生于资本循环中的( )。
CRM实施步骤的第一步( )
Windows操作系统、程序设计语言处理系统等属于()软件。
简述社会产品的概念及特性。
利润表的第三种要素指的是()
如何预防龋齿?
用运算符delete删除—个动态对象时( )
设计大中型企业材料核算岗位的基本职责和要求中,不包括( )。
以“危船一梦”开头的近代谴责小说是
简述护理成本的概念及主要构成。
病例:孟某,男,21岁,6个月前在看电视时见到某地卡拉OK厅发生火灾,因无消防通道,火灾后唯一的大门又被烈焰封死,故而发生烧死多
➕
➖
📋
⬆️
已复制到剪贴板