已知曲线y=x2-2x在点M处的切线平行于x轴,则切点M的坐标为( )

作者:高老师 浏览 2

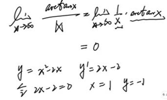
已知曲线y=x2-2x在点M处的切线平行于x轴,则切点M的坐标为( )
A、(-1,3)
B、(1,-1)
C、(0,0)
D、(1,1)
【正确答案】:B
【题目解析】:

【答案解析】


📱 扫码体验刷题小程序

微信小程序二维码

扫一扫使用我们的微信小程序

热门题目

已复制到剪贴板