翰林刷题,免费考试真题网站!
首页
关于我们
首页
›
分类
› 详情
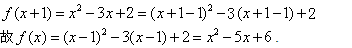
设,则
作者:高老师
时间:2024-07-20
浏览 0
设
,则
A、
B、
C、
D、
【正确答案】:B
【题目解析】:
【答案解析】
📱 扫码体验刷题小程序
扫一扫使用我们的微信小程序
热门题目
社会主义道德建设为什么要以为人民服务为核心?
其他条件不变,劳动力供给增加时,均衡工资率会( )
广告文稿按内容性质可分为( )
____是指当路由器因为来不及处理分组而被淹没的时候,只要将这些分组丢弃即可。
信息系统
下列关于死亡过程的描述,正确的是
应激
一个模块向其下属模块传递了一个开关量信息,则该模块与下属模块的关系是
影响决策的因素有哪些?
依靠互补的思考的个性集合而产生的构思的创意组织形式指的是
新闻媒体渠道经营与管理体系主要包括( )
市场经济的主要特征是()
➕
➖
📋
⬆️
已复制到剪贴板