翰林刷题,免费考试真题网站!
首页
关于我们
首页
›
分类
› 详情
作者:高老师
时间:2024-07-20
浏览 1
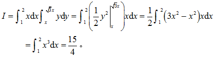
【正确答案】:
📱 扫码体验刷题小程序
扫一扫使用我们的微信小程序
热门题目
单个资本的循环周转与社会资本的再生产怎样影响剩余价值生产?
在团队的成立或者创建阶段首要考虑的问题是团队的定位,团队的定位的内容包括()
工作分析的结果常常表现为有关工作流程与行为的
我国古代礼仪的概念 。
古希腊、古罗马学校中的“七艺”,即“文法、修辞、逻辑、算术、几何、天文、音乐”,属于
世界上第一个系统研究了儿童游戏,并把游戏作为幼儿园教育基础的教育家是()
3.数据库系统生存期中,下面不是需求分析阶段工作的是
财务信息需求主体一般也是财务分析的主体。
对象
下列哪几种票据必定是即期的?()
关于鳞癌的下列表述错误的是()
电流并联负反馈放大电路使放大电路的____电阻值降低,____电阻值增高。
➕
➖
📋
⬆️
已复制到剪贴板