翰林刷题,免费考试真题网站!
首页
关于我们
首页
›
分类
› 详情
作者:高老师
时间:2024-07-20
浏览 0
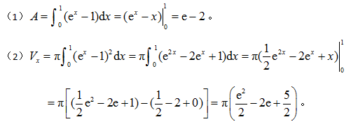
【正确答案】:
📱 扫码体验刷题小程序
扫一扫使用我们的微信小程序
热门题目
属于金融机构的主动负债的是( )。
领导人应有的素质是什么?盛田昭夫在本案例中突出表现出哪些优秀的领导素质?
分别指出特许经营对特许经销商和特许人的一个好处。
下列各项中,我国会计实务中对应收账款核算表述正确的是()
不可能所有的理事国都成为常任理事国。由此可见( )
改造山川,美化环境,修建房屋指的是审美创造中的
通常的拷贝构造函数的参数是()
广义上,项目管理包括 和系统维护期的管理。
在ERP系统中,战略层次平衡之后,首先需要平衡的是
不论是综合结转还是分项结转,半成品成本都是随着半成品实物的转移而结转。
不同语言中各种交流技巧的使用频率比较,法国人使用频率最高的是
➕
➖
📋
⬆️
已复制到剪贴板