翰林刷题,免费考试真题网站!
首页
关于我们
首页
›
分类
› 详情
作者:高老师
时间:2024-07-20
浏览 0
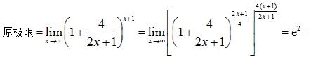
【正确答案】:
📱 扫码体验刷题小程序
扫一扫使用我们的微信小程序
热门题目
在完全竞争的市场环境下,企业在追求自身利益最大化的同时,通过市场中“看不见的手”的引导,实现( ),从而实现全社会的公共利益最大
下列《祖国啊,我亲爱的祖国》意象中,“数百年来纺着疲惫的歌”的是()。
“PDCA循环”中的“C”是指
领导如何做才能验证对方已理解你所传达的信息?
简述不确定性决策分析方法中折衷的决策方法的具体步骤。
清代戏剧成就最高的作品有( )
设D是Oxy平面上x=0,Y=0和a+y=1所围区域,求以D为底,曲面z=x2+y2为顶的曲顶柱体的体积.
题30图所示可编程PROM器件中,A和B为输入量,则输出F=____。
中国古代社会流传着大量的家训族规,内容涉及到( )
简述广告行业自律的显著特点。
为广告提供新的、重要的传播媒介的报纸和杂志出现在
简述现代科技发展的特点。
➕
➖
📋
⬆️
已复制到剪贴板