翰林刷题,免费考试真题网站!
首页
关于我们
首页
›
分类
› 详情
作者:高老师
时间:2024-07-20
浏览 0
A、
B、
C、
D、
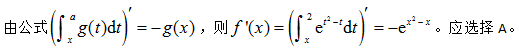
【正确答案】:A
【题目解析】:
📱 扫码体验刷题小程序
扫一扫使用我们的微信小程序
热门题目
提高大客户忠诚度的策略有哪些?
A Paperless ClassroomImagine a classroom missing the one thing t
投射测验
3岁前儿童的记忆一般不能永久保持。这种现象成为
某企业“应收账款”账户的期初借方余额为4000元,本期增加应收账款为2000元,本期减少应收账款为1000元,则该账户期末余额为
“For I have known them all already, known them all--/Have known
(2004.4,单选1)以下表述不符合资产评估科学性原则的是()
没有固定组织形态的国际市场主要包括()
属于乙类传染病管理的传染病是()
冬眠低温期应注意哪些方面?
请画出题26图所示的二叉树对应的树或森林。
我国金融调控法的表现形式有()
➕
➖
📋
⬆️
已复制到剪贴板