翰林刷题,免费考试真题网站!
首页
关于我们
首页
›
分类
› 详情
作者:高老师
时间:2024-07-20
浏览 0
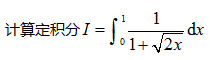
【正确答案】:
📱 扫码体验刷题小程序
扫一扫使用我们的微信小程序
热门题目
客户售前支持的一个方面是项目结项支持,其主要内容是签订合同,项目实施以及维护。
当x趋近0时,与x等价的无穷小量是( ).
如果一个人第一次面见经理时衣着不整,经理就会认为他是一个不拘礼节、过于随便、目无上司的人,因而对他产生不良印象,并一直左右以后对
名词解释:员工持股计划
______是选举权的延伸,是对选举权的一种保护。()
会计信息能使决策者证实或更正过去决策时的预期结果,把过去决策产生的结果反馈给决策人,使之修正或坚持原来的决策,获得更多的经济利益
论述我国的幼儿园保育和教育的主要目标.
马克思主义教育学者认为,教育起源于
编制评定问卷时,问卷项目的数量应适中,通常适宜的问卷项目数量为
下列选项中,属于外汇的是()
____是在局域网低层提供的数据传输能力的基础上,为高层网络用户提供共享资源管理和其它网络服务功能的局域网系统软件。
下列结论正确的是()
➕
➖
📋
⬆️
已复制到剪贴板