翰林刷题,免费考试真题网站!
首页
关于我们
首页
›
分类
› 详情
作者:高老师
时间:2024-07-20
浏览 2
A、1
B、2
C、3
D、∞
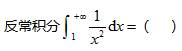
【正确答案】:A
【题目解析】:
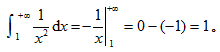
直接计算
📱 扫码体验刷题小程序
扫一扫使用我们的微信小程序
热门题目
20世纪30年代,结束国共两党长期对峙.促成两党走向合作抗日的历史事件是( )。
要想在Excel 2010的某个单元格中输入字符串"10/20"(不包含双引号),通过输入________ 即可。
利率变动的不确定性给银行造成的损失,这是
下列各项中,属于会计估计变更的有()
委付
In the sense of variation of idioms,______ is NOT a form of chan
注册会计师了解被审计单位及其环境的目的是( )
下列选项中,用于提高系统可靠性的技术是()
若要查询结果中包含表中所有的行,则SQL语句应包含()
采用分类法的目的是( )。
中国古代诗论中提到的“不着一字,尽得风流”,所涉及的审美理解的特点是
患者症状为能听懂别人说话但基本不能说话,这种语言障碍叫( )
➕
➖
📋
⬆️
已复制到剪贴板