翰林刷题,免费考试真题网站!
首页
关于我们
首页
›
分类
› 详情
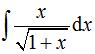
求不定积分 .
作者:高老师
时间:2024-07-20
浏览 0
求不定积分
.
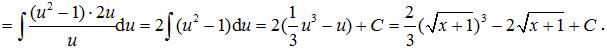
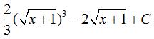
【正确答案】:
【题目解析】:
原积分
📱 扫码体验刷题小程序
扫一扫使用我们的微信小程序
热门题目
企业的目标范畴又哪些?
一般来说,设计合理有效的薪酬制度应参照的标准有( )。
美籍奥地利人、理论生物学家和哲学家_______在1937年提出了一般系统论原理。
简述全面管理的概念。
婴幼儿身体动作的发育遵循“________法则”。
(1)研究排队论的目的是什么?(2)什么是M/M/1模型?
John is a very private person-for most of the time, he______hims
企业下列行为违背企业会计处理方法一贯性原则,审计人员根据其重要性,考虑在审计报告中反映的有()。
行情变化最明显的反映是
明朗性与隐蔽性共存这一特点属于
文献综述所引用的文献一般是近3~5年内发表的文献,这反映的文献综述论文的特征是
研究A、B两种药物的降血脂效果,120名高血脂患者随机等分两组,治疗一个疗程后的结果为:A药治疗60人,有效36人;B药治疗60
➕
➖
📋
⬆️
已复制到剪贴板