求函数 的极值.

作者:高老师 浏览 2

求函数 的极值.


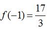
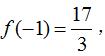
【正确答案】:

极大值 极小值


【题目解析】: 的定义域为 可得到驻点 是极大值, 是极小值.

📱 扫码体验刷题小程序

微信小程序二维码

扫一扫使用我们的微信小程序

热门题目

已复制到剪贴板