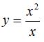
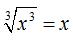
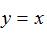
下列函数中与
相同的为
A、

B、

C、

D、

【正确答案】:B
【题目解析】:
选项A和C的函数都等于
.D中的函数的定义域是
,而函数
的定义域是
.因此A、C、D、都是错误的.因选项B中函数的定义域是
,且在定义域上恒有
.故应选择B.
下列函数中与
相同的为




选项A和C的函数都等于
.D中的函数的定义域是
,而函数
的定义域是
.因此A、C、D、都是错误的.因选项B中函数的定义域是
,且在定义域上恒有
.故应选择B.
📱 扫码体验刷题小程序
扫一扫使用我们的微信小程序