翰林刷题,免费考试真题网站!
首页
关于我们
首页
›
分类
› 详情
作者:高老师
时间:2024-07-20
浏览 0
【正确答案】:
【题目解析】:
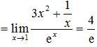
由洛必达法则,原极限
📱 扫码体验刷题小程序
扫一扫使用我们的微信小程序
热门题目
生产力发展水平的主要标志是( )。
Why we need vacationsThere’s more to a vacation than can be desc
根据所学过的知识对存储器进行详细的分类,并说明它们的特点及作用。
为了测试拟录取公务员的心理素质,某市人事局特聘心理学家组织了一场心理测试,耗资10万元。这些支出属于人力资源取得成本中的( )
以下哪个选项用来描述系统最合适()
管理信息系统的特点是()
影响国债规模的因素有哪些?
一汽-大众汽车有限公司成立于1991年,从生产第一批捷达至今,公司发展到现在拥有276亿元人民币的大型汽车企业。自成立以来,就一
简述从形式上看,辞格的构成部分。
简述小说创造中的内视角写法。
根据马斯洛的人类基本需要理论,哪项是最高层次的需要
中年人可多饮茶以减少骨质疏松的发生,是因为茶叶里含有大量的
➕
➖
📋
⬆️
已复制到剪贴板