翰林刷题,免费考试真题网站!
首页
关于我们
首页
›
分类
› 详情
作者:高老师
时间:2024-07-20
浏览 0
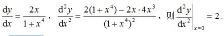
【正确答案】:2
【题目解析】:
📱 扫码体验刷题小程序
扫一扫使用我们的微信小程序
热门题目
VaR方法可应用在( )。Ⅰ.绩效评价Ⅱ.资产配置与投资决策Ⅲ.风险监管Ⅳ.风险管理与控制
知识管理的概念是由( )首先提出的。
下列属于定制化产品的是( )
被称为“高要求、低反应”型教养方式的是( )
心情好时,我可以谱写出恢弘的交响乐,绘制出壮丽的画卷。
This Contract shall come into force from the date of execution h
政府采购
在线性规划问题中,_____的个数总是多于_____的个数。
自行开发软件开发工具不具有的优点是()
T.S.Eliot produced two major volumes of poetic works:______ and
设3阶方阵 A的行列式为2,则( )
审计报告的基本要素
➕
➖
📋
⬆️
已复制到剪贴板