作者:高老师 浏览 0


A、1
B、2
C、3
D、4
【正确答案】:B
【题目解析】:

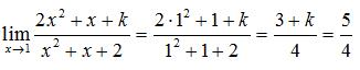
由于取极限式子的分子和分母都是连续函数,则原极限,解这个方程得.故应选择B.


📱 扫码体验刷题小程序

微信小程序二维码

扫一扫使用我们的微信小程序

热门题目

已复制到剪贴板