翰林刷题,免费考试真题网站!
首页
关于我们
首页
›
分类
› 详情
作者:高老师
时间:2024-08-29
浏览 0
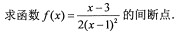
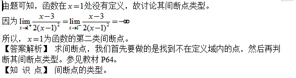
【正确答案】:
📱 扫码体验刷题小程序
扫一扫使用我们的微信小程序
热门题目
注册地在内地、上市地在中国香港的外资股是()
采购业务流程包括:①选择供应商;②确定采购价格;③编制需求计划和采购计划;④请购;⑤订立采购合同等环节,下列对这些流程排序正确的
业绩辅导的内容主要包括()
Word 2010邮件合并应用于批量打印工资条、批量打印各类获奖证书等方面。写出其他5 种常用的应用。
宪法行为可以分为两类,即依据宪法制定规范性法律文件的行为和
30.全面质量管理(TQM)强调全员_______,重视满足产品的所有受益者以及社会的需要。
In form, style and theme, many of Carl Sandburg's poems resemble
进行假设检验时,对选取的统计量说法不正确的是()
简述影响企业长期偿债能力的因素。
自制原始凭证
个人积累的主要形式是()
老年人功能状况的评估主要是通过进行评定()
➕
➖
📋
⬆️
已复制到剪贴板