翰林刷题,免费考试真题网站!
首页
关于我们
首页
›
分类
› 详情
作者:高老师
时间:2024-07-20
浏览 0
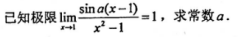
【正确答案】:
📱 扫码体验刷题小程序
扫一扫使用我们的微信小程序
热门题目
在Excel中,输入公式时首先要输入_____。
下列观点出自《颜氏家训》一书的是
绘人测验是一种能引起儿童兴趣的、简便易行的智力筛查方法。
简述事业基金的概念及其用途。
操作系统的作用是( )
Correct or improve the translation of the following English sent
Excuse me, but it’s time to have your temperature( ).
简述舆论主体的特点。
简述对DIC患者的主要护理措施。
水质处理的常规方法包括
简述USP理论的核心内容。
社会人口对确定教育投资比例的影响,体现在哪些方面?
➕
➖
📋
⬆️
已复制到剪贴板