在某地随机抽查了100名正常成年男性和120名正常成年女性,对其血红细胞数进行化验,结果如下表1,问该地正常成年男、女平均血红细胞数有无不同?
表1 某地220名正常成年男女血红细胞均数和标准差(1012/L) | |||
性别 | 例数 | 均数(1012/L) | 标准差(1012/L) |
男 | 100 | 4.7 | 0.6 |
女 | 120 | 4.2 | 0.3 |

在某地随机抽查了100名正常成年男性和120名正常成年女性,对其血红细胞数进行化验,结果如下表1,问该地正常成年男、女平均血红细胞数有无不同
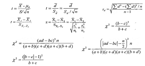
【正确答案】:H0: M1=M2H1:M1≠M2
