翰林刷题,免费考试真题网站!
首页
关于我们
首页
›
分类
› 详情
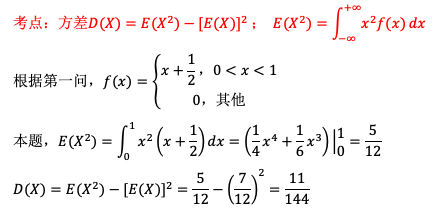
D(X)
作者:高老师
时间:2024-07-28
浏览 0
D(X)
【正确答案】:
【题目解析】:
📱 扫码体验刷题小程序
扫一扫使用我们的微信小程序
热门题目
销售预算也是( ),一旦确定,可以作为衡量销售人员和销售部门销售业绩的工具
方程 的根为 【 】
萨伊的就业理论认为:在正常情况下,依靠(),国家内部的经济失调会迅速地被商品市场和生产要素市场价格的自行运动消除。
下列属于前市场歧视的是( )
被认为是科学化课程开发理论的奠基者、开创者是()
简述在学前儿童的比较、对应能力教育中,教师的指导要点。
我们只能将汇总结果用统计表的方式表现出来,为统计资料的使用和分析做好准备。
下列各项中,应计入固定资产成本的有( )。
设3阶矩阵A=,B为3阶非零矩阵,且AB=0,则t=__________.
下列贸易中属于所有权与使用权相分离的一种物资流动形式是()
在建立回归趋势预测模型时,如何选择适当形式的趋势方程来进行模拟?
下列作品属于艾青“北方组诗”的有
➕
➖
📋
⬆️
已复制到剪贴板