翰林刷题,免费考试真题网站!
首页
关于我们
首页
›
分类
› 详情
作者:高老师
时间:2024-07-20
浏览 2
B、
C、
D、
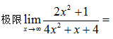
【正确答案】:C
【题目解析】:
📱 扫码体验刷题小程序
扫一扫使用我们的微信小程序
热门题目
发行可转换债券与发行一般债券相比( )
哪一种管理活动与首字母简略词中的P有关?( )
College education was expected to make the author ().
China's economy bounced back mightily, reaching a recent 【peak】
什么是编制合并会计报表的抵消分录?为什么编制合并?会计报表要编制抵消分录
CRM的主要功能集中的三个方面中不包括( )
综合股票价格指数是
仲裁协议
抑郁状态的特点是
某病人由于过敏性休克而急诊入院,在入院初期,护患关系的模式应是
结合当前现实,谈一谈数字化对媒体营销提出的新要求。
消费者记忆广告的基本环节包括
➕
➖
📋
⬆️
已复制到剪贴板