翰林刷题,免费考试真题网站!
首页
关于我们
首页
›
分类
› 详情
作者:高老师
时间:2024-07-20
浏览 0
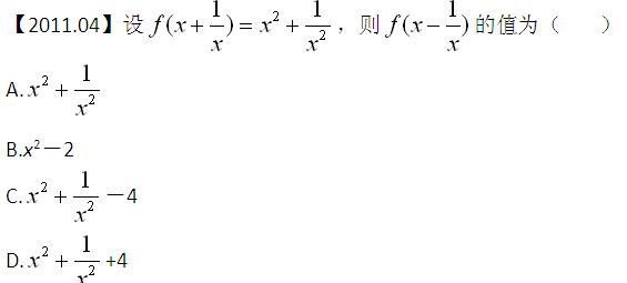
A、见上A
B、见上B
C、见上C
D、见上D
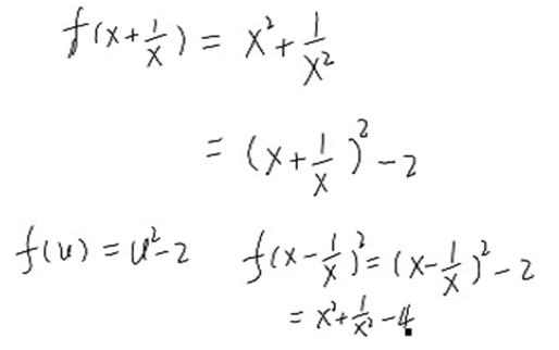
【正确答案】:C
【题目解析】:
【答案解析】
📱 扫码体验刷题小程序
扫一扫使用我们的微信小程序
热门题目
简述数据流程图上的成分的命名原则。
绩效管理的目的在于
人生观主要通过人生目的、人生态度、人生价值三个方面体现出来。其中,人生目的回答的是( )。
论述:试述我国《公司法》的资本三原则。
述怎样改善与进行有效的沟通。
可以区分技术工种之间和工种内部的劳动差别和工资差别的工人工资等级制度是()
Jeff: What’s on Television this evening? ________Tina: Why ask m
Measures to stimulate the domestic economy will be high on the P
孔子提出"不愤不启,不悱不发,举一隅不以三隅反,则不复也。"这要求幼儿教师指导游戏时应
1835年是近代儿童文学诞生的标志点,一位世界童话大师的《讲给孩子们听的故事》的发表,开创了文人自觉创作童话的新时代。这位伟大的
在某一时刻人的心理活动选择了某个对象而离开了另外一些对象,指的是注意的( )
选出划线部分对应的汉字。建築のこうぞうを調べる。( )
➕
➖
📋
⬆️
已复制到剪贴板